共价键和配位键有什么区别和联系呢
1、联系
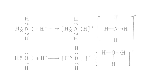
(1)、配位键是共价键的一种,只不过是一种特殊的共价键。比如铵根离子中的N-H键
(2)、原子之间形成共价键时,若共用电子对只是由一方原子提供电子,而非来自双方原子,这样的共价键就称为配位键,故配位键一定是共价键。
(3)、都具有方向性与饱和性,所以说配位键与共价键没有本质上的差异。
2、区别
(1)、共价键不一定是配位键,关键是看共用电子对的来源是一个成键原子还是两个成键原子提供的。比如甲烷中C-H键。
(2)、形成过程上有所不同。若是由成键的一个原子单方面提供的则为配位键,若是由成键双方原子共同提供的则是共价键。

扩展资料
形成配位键有何条件
配位键是一种特殊的共价键,并不是任意的两个原子相遇就能形成。它要求成键的两个原子中一个原子A有孤对电子,另一个原子B有接受孤对电子的“空轨道”
所以配位键的表示方法为A → B,A称为配体,B称为中心原子或离子。有时为了增强成键能力,中心原子或离子B利用能量相近的空轨道进行杂化后,再来接收以配体原子A的孤电子对。
配位键既可以存在于分子中(如H2SO4等),又可以存在于离子之中(如铵根离子、水合氢离子等)。
参考资料来源:百度百科-配位键