python数据挖掘:[3]numpy函数库简介
numpy主要提供了对矩阵的操作函数,我们列举大量函数大家也不会理解更不会记住,我们就拿简单的两三个函数来说明一下,然后在以后的学习中,逐渐的渗透各种函数,这样大家也不会有畏难情绪,好了,不多说,我们开始使用numpy来进行矩阵的操作吧:
先来引入numpy模块,下面的命令中有两种引用的方法,import numpy这种方法不能直接使用numpy的函数,必须在函数前面加上numpy还能指明该函数出自哪个模块;实际上我们更喜欢使用下面的写法,这样可以直接使用函数,而不必指明函数来自哪里。所以,使用from numpy import *就好了。
![python数据挖掘:[3]numpy函数库简介](https://exp-picture.cdn.bcebos.com/d400248ca608a50f9b8f583910cec7f88b77ffcb.jpg)
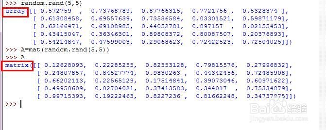
我们可以先来创建一个5X5的数组,使用random。rand函数
![python数据挖掘:[3]numpy函数库简介](https://exp-picture.cdn.bcebos.com/b7b28f87031c99c08e8fe933af2fa872951fedcb.jpg)
我们还需要使用mat函数将数组转换成矩阵,否则在很多矩阵运算函数中就会出错。我们比较一下数组和矩阵,他们在内存中的存放方式也不同
![python数据挖掘:[3]numpy函数库简介](https://exp-picture.cdn.bcebos.com/19587f20a7cd0c6eca810a06fed7997bbaf4ddcb.jpg)
矩阵求逆用的是方法I,假如有一个矩阵为A,求逆就是A.I,下面是求得逆矩阵与矩阵的积,他们的积是单位矩阵,这也是逆矩阵的定义。我们看到单位矩阵E表面看起来并不是单位矩阵,这是计算机的误差造成的,实际上它约等于单位矩阵
![python数据挖掘:[3]numpy函数库简介](https://exp-picture.cdn.bcebos.com/16a84fe10ef85856944ea09153e9ccd2ba66cdcb.jpg)
我们使用eye来创建一个单位矩阵,跟上面的矩阵比较一下,是不是一样的。
![python数据挖掘:[3]numpy函数库简介](https://exp-picture.cdn.bcebos.com/3b03be7aa010bc33a34b3c0e92efa25f0d143fc8.jpg)
阅读量:41
阅读量:109
阅读量:20
阅读量:175
阅读量:47